Aaron Ouellette

Physics Ph.D. student at the University of Illinois Urbana-Champaign

prof_pic.jpg

As a cosmologist, I study how the Universe formed and evolved using a variety of statistical techniques and data from large astronomical surveys.

selected publications

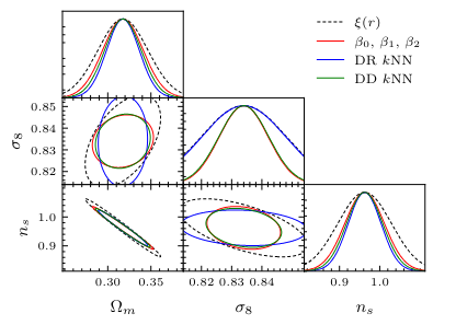
  1. fisher.png
    Cosmological information content of Betti curves and k-nearest neighbor distributions
    Aaron Ouellette, and Gilbert Holder
    arXiv e-prints, Feb 2025
  2. neutrino_cross_corrs.png
    Cross-correlating IceCube neutrinos with a large set of galaxy samples around redshift z \~ 1
    Aaron Ouellette, and Gilbert Holder
    Phys. Rev. D, Nov 2024
  3. triangulation.png
    Topological data analysis reveals differences between simulated galaxies and dark matter haloes
    Aaron Ouellette, Gilbert Holder, and Ely Kerman
    MNRAS, Jun 2023